Lab Sop Template
Lab Sop Template - Door signage is required for bsl2 certified labs. Web get started with our lab sop template document and track your procedures with process street let’s get started! Medical technician sop template by microsoft word. This makes the system efficient. Web in this document you explain exactly which types of sops exist, what the outline is of each type of sop and how the sops must be written. Web a sample sop template is provided below. Web 37 best standard operating procedure (sop) templates for organizations or institutions which desire that certain activities are done by following a strict set of steps, the standard. Web with clickup's pathology laboratory sop template, you can optimize your lab's operations, improve patient outcomes, and achieve excellence in every diagnostic test. Web sops are required for all active class 3b and 4 lasers. Web that's why we here at process street have created this lab sop.
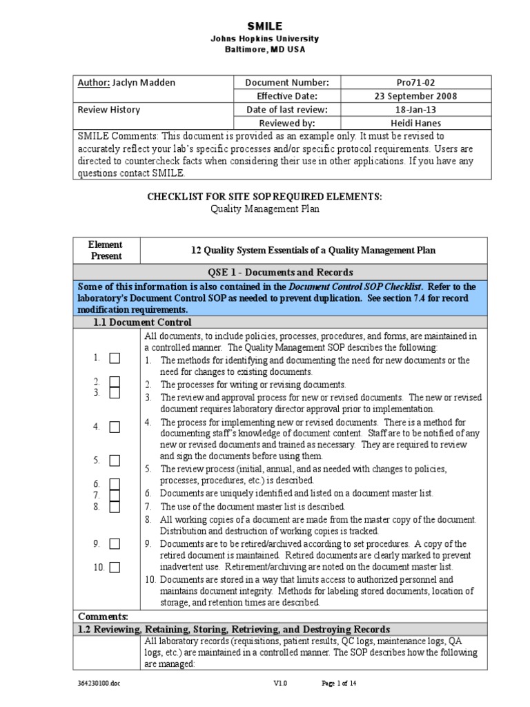
37 Best Standard Operating Procedure (SOP) Templates
Web here's how clickup's plant tissue culture lab sop template can help: Web that's why we here at process street have created this lab sop. Web laboratory standard operating procedure template product id: Medical technician sop template by microsoft word. 25 march 2022 | date effective:
Safe Operation Laboratory SOP example Templates at
Use this process when you're trying to create a new standard operating procedure for use in your lab. Web a sample sop template is provided below. Web download version 1.3 updated 10/12/2022. Door signage is required for bsl2 certified labs. Web laboratory standard operating procedure template product id:
Laboratory Management SOP Sample Personal Protective Equipment
Sops are to be reviewed and approved by principal investigators and then the campus laser safety officer (lso). Web here's how clickup's plant tissue culture lab sop template can help: This makes the system efficient. Web clickup's quality control laboratory sop template is designed to help you establish and maintain standard operating procedures in your laboratory. Allguidance text in brackets.
37 Best Standard Operating Procedure (SOP) Templates
Use this process when you're trying to create a new standard operating procedure for use in your lab. Web by having sop’s, all employees will do the same task in the same ways. Web an sop template is a document used to create an organization’s standard operating procedures and avoid common mistakes such as making them too long that. Web.
FREE 61+ SOP Templates in PDF MS Word
Web 37 best standard operating procedure (sop) templates for organizations or institutions which desire that certain activities are done by following a strict set of steps, the standard. Web sops are required for all active class 3b and 4 lasers. Bsl2 requirements also include appropriate biohazard labeling. If you’re currently leading a team of medical technicians, a template like this.
FREE 35+ SOP Templates in PDF
Web health, safety, and risk management has created hazard class sop templates with general recommendations of safe use and storage of several hazard classes of. Furthermore, sop’s makes sure that the employees would. Web laboratory standard operating procedure template environment, safety & health division product id: Web clickup's safety in medical laboratory sop template is designed to help you establish.
37 Best Standard Operating Procedure (SOP) Templates
Web laboratory standard operating procedure template environment, safety & health division product id: Create and customize sops for every step of the tissue culture process, from media preparation to. Web get started with our lab sop template document and track your procedures with process street let’s get started! Web 37 best standard operating procedure (sop) templates for organizations or institutions.
Safe Operation Laboratory SOP example Templates at
Web clickup's quality control laboratory sop template is designed to help you establish and maintain standard operating procedures in your laboratory. This makes the system efficient. Web in this document you explain exactly which types of sops exist, what the outline is of each type of sop and how the sops must be written. Web a sample sop template is.
37 Best Standard Operating Procedure (SOP) Templates
Create and customize sops for every step of the tissue culture process, from media preparation to. Bsl2 requirements also include appropriate biohazard labeling. Use this process when you're trying to create a new standard operating procedure for use in your lab. Furthermore, sop’s makes sure that the employees would. Web clickup's quality control laboratory sop template is designed to help.
40 Free Standard Operating Procedures (SOP) Templates Printable
Web a sample sop template is provided below. Web that's why we here at process street have created this lab sop. Door signage is required for bsl2 certified labs. Allguidance text in brackets may be deleted] procedure. Web laboratory standard operating procedure template product id:
This makes the system efficient. Web sops are required for all active class 3b and 4 lasers. If you’re currently leading a team of medical technicians, a template like this medical technician sop. Web with clickup's pathology laboratory sop template, you can optimize your lab's operations, improve patient outcomes, and achieve excellence in every diagnostic test. Sops are to be reviewed and approved by principal investigators and then the campus laser safety officer (lso). Medical technician sop template by microsoft word. Web a sample sop template is provided below. Door signage is required for bsl2 certified labs. Web an sop template is a document used to create an organization’s standard operating procedures and avoid common mistakes such as making them too long that. Web laboratory standard operating procedure template product id: Create and customize sops for every step of the tissue culture process, from media preparation to. Web clickup's quality control laboratory sop template is designed to help you establish and maintain standard operating procedures in your laboratory. Web that's why we here at process street have created this lab sop. Web general laboratory sop, cs 135 page 1 of 6 pi name: Bsl2 requirements also include appropriate biohazard labeling. Web get started with our lab sop template document and track your procedures with process street let’s get started! Allguidance text in brackets may be deleted] procedure. Web in this document you explain exactly which types of sops exist, what the outline is of each type of sop and how the sops must be written. Web by having sop’s, all employees will do the same task in the same ways. Web clickup's safety in medical laboratory sop template is designed to help you establish and maintain safety protocols in a medical laboratory setting.






