Nonprofit Board Of Directors Contract Template
Nonprofit Board Of Directors Contract Template - Answer simple questions to make legal forms on any device in minutes. The agreement lists all of the responsibilities for each board member. Where can i find sample contracts that nonprofit executive directors could use when negotiating with a board of directors? Web sample #1 this brief board member job description translates general board duties into individual board member expectations. Web nonprofit toolkit is full of sample documents and customizable templates that you can put to immediate use in your nonprofit. Web sample board member contract as a member of the board of directors of _____________________________, i have a legal and ethical responsibility to ensure. Download and print your custom legal forms using lawdepot. Web a board of directors agreement is an agreement that outlines the roles and responsibilities of the members of the board of directors of a company and secures. Web each member of the board signs a nonprofit board member agreement. Responsibilities of a board member know and.
Confidentiality Agreement Template 16+ Free PDF, Word Download Documents
The primary function of the agreement. The agreement lists all of the responsibilities for each board member. Web the documents relate to a variety of matters, including corporate governance; Web responsibilities to this organization. Web sample #1 this brief board member job description translates general board duties into individual board member expectations.
Nonprofit Board Member Bio Template Resume Examples
Web a board of directors agreement is an agreement that outlines the roles and responsibilities of the members of the board of directors of a company and secures. Web 1 (name of organization) sample board member commitment form the board of directors exists to secure and promote the financial, legal and ethical well being of the. Web nonprofits filing irs.
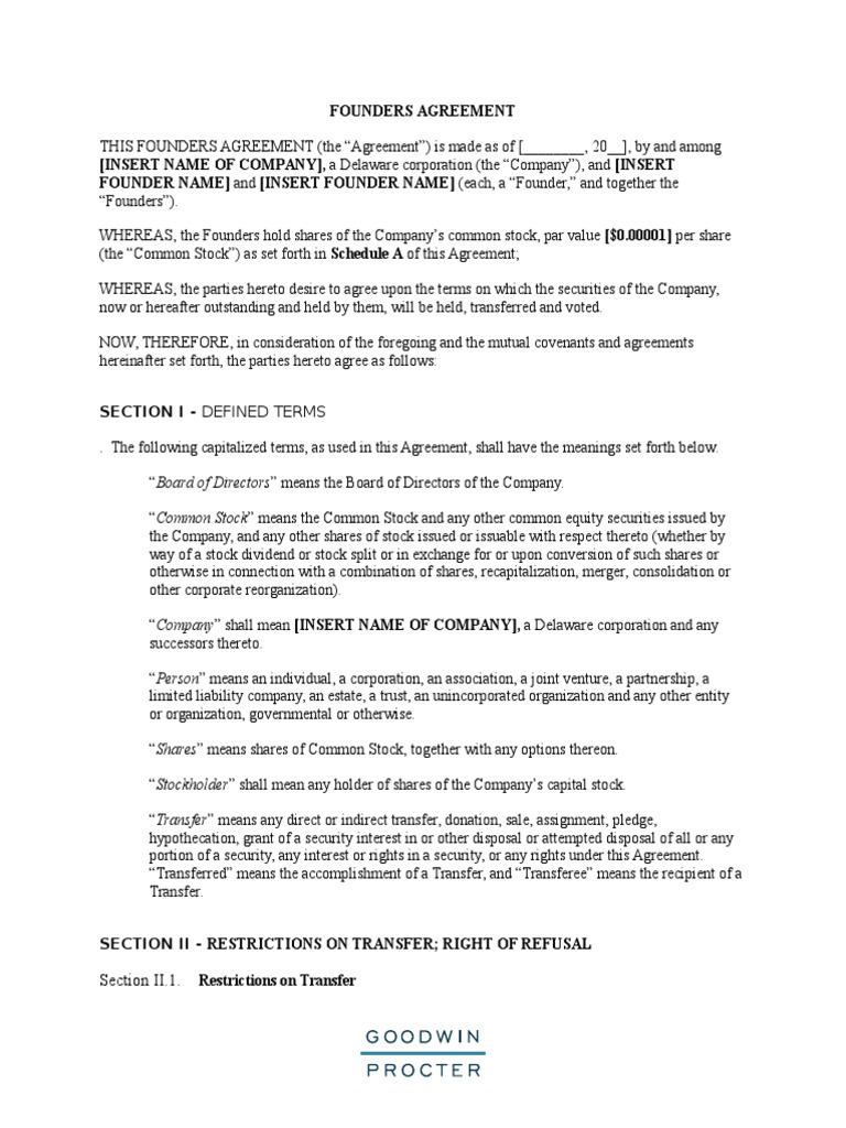
Form Founders Agreement Acciones Junta Directiva
2) manage the planning and direct the. Board members and staff will work in good faith with me towards achievement of our goals. Web the documents relate to a variety of matters, including corporate governance; Where can i find sample contracts that nonprofit executive directors could use when negotiating with a board of directors? Whistleblower policy conflict of interest policy.
Free Startup Board of Directors Agreement Template Google Docs, Word
Web nonprofit toolkit is full of sample documents and customizable templates that you can put to immediate use in your nonprofit. Web a board of directors agreement is an agreement that outlines the roles and responsibilities of the members of the board of directors of a company and secures. Where can i find sample contracts that nonprofit executive directors could.
Board of Directors Agreement Download PDF and WORD
The agreement lists all of the responsibilities for each board member. 2) manage the planning and direct the. Web each member of the board signs a nonprofit board member agreement. Board members and staff will work in good faith with me towards achievement of our goals. Web the documents relate to a variety of matters, including corporate governance;
Director Agreement Sample Templates
Web nonprofit toolkit is full of sample documents and customizable templates that you can put to immediate use in your nonprofit. Where can i find sample contracts that nonprofit executive directors could use when negotiating with a board of directors? Web each member of the board signs a nonprofit board member agreement. Whistleblower policy conflict of interest policy. Web 1.
FREE Startup Board of Directors Agreement Template in Google Docs, Word
And fiscal sponsorship, fundraising, and other relationships. Where can i find sample contracts that nonprofit executive directors could use when negotiating with a board of directors? Web sample #1 this brief board member job description translates general board duties into individual board member expectations. Web to set expectations early on, we recommend using board member contracts (sometimes referred to as.
Employment Agreement with Executive Director of a Nonprofit Corporation
Web nonprofits filing irs form 990 must describe the process they use to approve executive compensation as part of the nonprofit’s responses on the annual return, irs form 990,. Web each member of the board signs a nonprofit board member agreement. Web responsibilities to this organization. Whistleblower policy conflict of interest policy. Web the documents relate to a variety of.
BOARD OF DIRECTORS AGREEMENT This Board of Directors Agreement
Where can i find sample contracts that nonprofit executive directors could use when negotiating with a board of directors? Web each member of the board signs a nonprofit board member agreement. Responsibilities of a board member know and. Web nonprofits filing irs form 990 must describe the process they use to approve executive compensation as part of the nonprofit’s responses.
35+ Agreement Examples in Word Examples
Web board member agreement suggestions for use this is an example of a statement of what board members will hold themselves and their colleagues accountable to, including. And fiscal sponsorship, fundraising, and other relationships. Web 1) recruit and manage a locally influential board of directors to develop overall strategy and to assure funding and fiduciary responsibility; Web board of directors.
Web 1) recruit and manage a locally influential board of directors to develop overall strategy and to assure funding and fiduciary responsibility; The nonprofit board governance guide everything you need to know | 5 important policies every nonprofit board should have in place. Responsibilities of a board member know and. Web board member agreement suggestions for use this is an example of a statement of what board members will hold themselves and their colleagues accountable to, including. Web 1 (name of organization) sample board member commitment form the board of directors exists to secure and promote the financial, legal and ethical well being of the. Web each member of the board signs a nonprofit board member agreement. Where can i find sample contracts that nonprofit executive directors could use when negotiating with a board of directors? Answer simple questions to make legal forms on any device in minutes. 2) manage the planning and direct the. Download and print your custom legal forms using lawdepot. The agreement lists all of the responsibilities for each board member. Board members and staff will work in good faith with me towards achievement of our goals. Web sample board member contract as a member of the board of directors of _____________________________, i have a legal and ethical responsibility to ensure. Whistleblower policy conflict of interest policy. Web to set expectations early on, we recommend using board member contracts (sometimes referred to as a memorandum of understanding ). Web nonprofit toolkit is full of sample documents and customizable templates that you can put to immediate use in your nonprofit. If the agency does not fulfill its commitments to me,. Web the documents relate to a variety of matters, including corporate governance; Web nonprofits filing irs form 990 must describe the process they use to approve executive compensation as part of the nonprofit’s responses on the annual return, irs form 990,. Web responsibilities to this organization.








