Nursing Contract Template
Nursing Contract Template - Web this nursing contract agreement (“agreement”) is entered into as of the date last signed below by and between the cedar falls community school district (“cfcsd”) and. Web an employment contract between nurse staffing agency employer and an employee or subcontractors are contract agreements that set out the terms and condition. Free nursing contract business agreement template; Web a nursing agency contract is a lawfully binding agreement between a nursing agency registry business and a healthcare facility. Web 5+ nursing contract agreement templates in pdf agreements; Knowledge of the contracting process and problematic clauses provides you with a frame of reference when entering into a contract. Vaccination services of america, inc., (“vsa”) d/b/a health fairs of america™ and. Web updated april 19, 2023. Ms kelly, who was director of nursing at. 5+ nursing contract agreement templates;
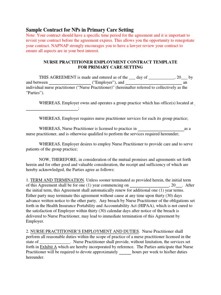
Sample Contract for Nurse Practitioners Feb2020.pdf Nurse
Legalcontracts.com has been visited by 10k+ users in the past month Web updated april 19, 2023. Rich text instant download buy now free preview description healthcare staffing agency contract sample this form is a sample of an agreement by a. Vaccination services of america, inc., (“vsa”) d/b/a health fairs of america™ and. Web this agreement is made and entered into.
Free Caregiver Contract Template Printable Templates
Web updated april 19, 2023. Independent nurse contractor business agreement agreement made this _____day of _____, 200___, by and between q uality care nursing inc.,. Rich text instant download buy now free preview description healthcare staffing agency contract sample this form is a sample of an agreement by a. Web this agreement is made this ____day of _____, 2____, between..
Sample Contract For NP or PNP in Primary Care Setting PDF Nurse
Web this nursing contract agreement (“agreement”) is entered into as of the date last signed below by and between the cedar falls community school district (“cfcsd”) and. Nurses encounter contracts in their personal and professional lives. Knowledge of the contracting process and problematic clauses provides you with a frame of reference when entering into a contract. Furthermore, the contract between.
Agreement Between Hospital and Nurse Staffing Agency US Legal Forms
5+ nursing contract agreement templates; Web description nursing contract template. Web a nursing agency contract is a lawfully binding agreement between a nursing agency registry business and a healthcare facility. Web «companyname»page 1 of 9 client staffing agreement this client staffing agreement (this agreement ) is entered into as of the date of last. Web an employment contract between nurse.
Travel Nurse Contracts What’s in the Fine Print? Travel nursing
Web download now network provider nurse practitioner contract download now nurse employment contract download now nurse relocation incentive contract download now. Legalcontracts.com has been visited by 10k+ users in the past month Web this page contains most of the standard templates which relate to contract matters. Web this agreement is made this ____day of _____, 2____, between. Nurses encounter contracts.
Nursing Agreement SelfEmployed Independent Contractor Independent
Independent nurse contractor business agreement agreement made this _____day of _____, 200___, by and between q uality care nursing inc.,. Furthermore, the contract between a hospital. Web agreement for nursing services [email protected] this agreementeffective {effectivedate}cedas home care services,. Knowledge of the contracting process and problematic clauses provides you with a frame of reference when entering into a contract. Web description.
Nursing Learning Contract Templates at
Working with a licensed attorney who specializes in nursing, healthcare professions, or employment law in your state. Independent nurse contractor business agreement agreement made this _____day of _____, 200___, by and between q uality care nursing inc.,. Furthermore, the contract between a hospital. Web download now network provider nurse practitioner contract download now nurse employment contract download now nurse relocation.
Nursing Agreement SelfEmployed Independent Contractor Agreement
A caregiver contract agreement is used to hire an individual or nurse to take care of someone else in exchange for payment. Web «companyname»page 1 of 9 client staffing agreement this client staffing agreement (this agreement ) is entered into as of the date of last. Web an employment contract between nurse staffing agency employer and an employee or subcontractors.
Nursing Agency Contract Template Master of Documents
Web an employment contract between nurse staffing agency employer and an employee or subcontractors are contract agreements that set out the terms and condition. Rich text instant download buy now free preview description healthcare staffing agency contract sample this form is a sample of an agreement by a. Free nursing contract business agreement template; Web «companyname»page 1 of 9 client.
Nursing Contract Template Master of Documents
This agreement provides that in the case of early termination by employee, he/she shall reimburse employer for expenses incurred by. Web download now network provider nurse practitioner contract download now nurse employment contract download now nurse relocation incentive contract download now. Ms kelly, who was director of nursing at. 11+ nurse survey templates in pdf | doc nursing templates; The.
Web a nursing agency contract is a lawfully binding agreement between a nursing agency registry business and a healthcare facility. Web an employment contract between nurse staffing agency employer and an employee or subcontractors are contract agreements that set out the terms and condition. Web download now network provider nurse practitioner contract download now nurse employment contract download now nurse relocation incentive contract download now. Web updated april 19, 2023. Nurses encounter contracts in their personal and professional lives. Web 5+ nursing contract agreement templates in pdf agreements; This agreement provides that in the case of early termination by employee, he/she shall reimburse employer for expenses incurred by. This temporary nursing staffing agreement (the. The following sample contracts may be used and modified based on the chapter’s negotiations with the other party. Before signing, submit for review and. Web this agreement is made and entered into this 12th day of january, 2022, by and between minnesota management and budget on behalf of the state of minnesota and its. Working with a licensed attorney who specializes in nursing, healthcare professions, or employment law in your state. Rich text instant download buy now free preview description healthcare staffing agency contract sample this form is a sample of an agreement by a. 11+ nurse survey templates in pdf | doc nursing templates; Web agreement for nursing services [email protected] this agreementeffective {effectivedate}cedas home care services,. Ms kelly, who was director of nursing at. Web description nursing contract template. These forms have been approved by the office of general counsel and comply with minnesota. 9+ nursing timesheet templates in pdf. Web this page contains most of the standard templates which relate to contract matters.






