Sign On Bonus Contract Template
Sign On Bonus Contract Template - Web sign on bonus agreement template. Web 1 day agosome houston independent school district teachers say they feel tricked and. Web we are happily presenting you couple of free bonus structure templates at. Web free sample sign on bonus contract. In the event that you leave. Web this employee bonus policy template is ready to be tailored to your company’s needs. Easily customize your legal contracts. Web this bonus will be paid in one lump sum and will be taxable. Web this employee bonus policy template is ready to be tailored to your company’s needs. Web signing bonus clause samples.
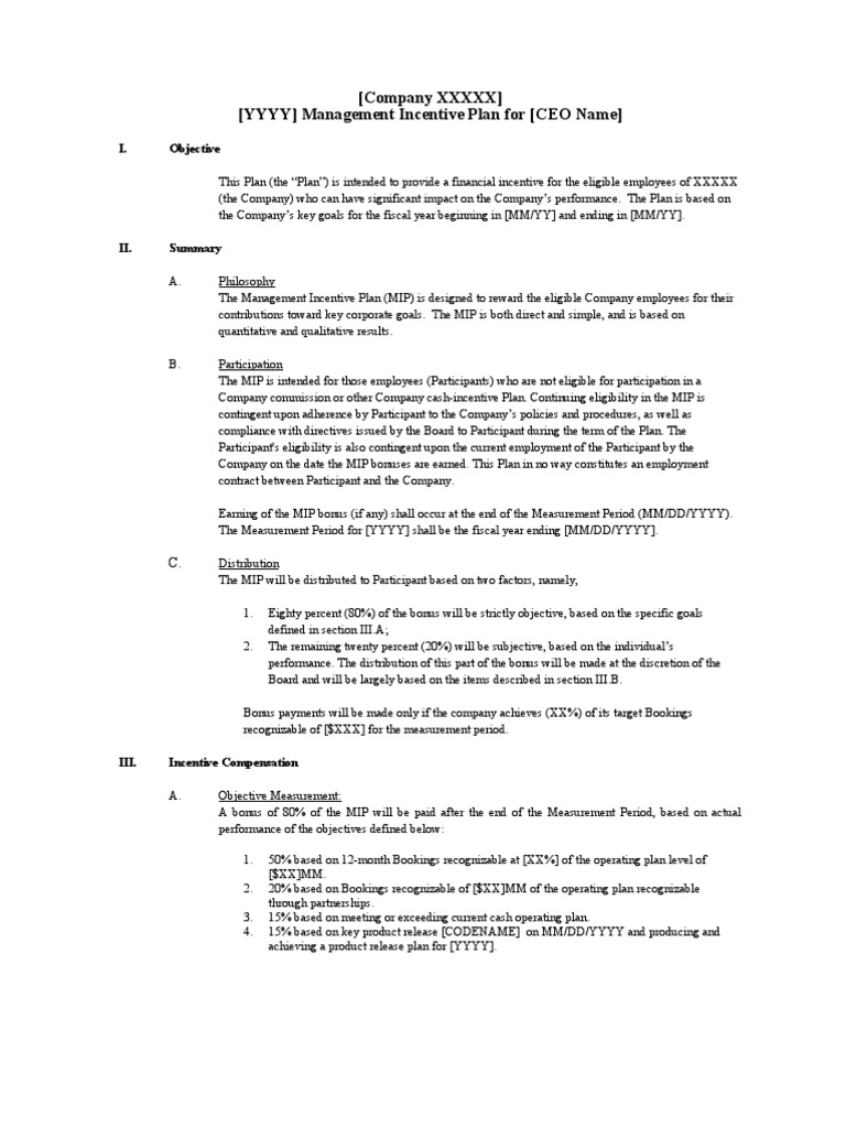
SignOn Bonus Agreement
Web this employee bonus policy template is ready to be tailored to your company’s needs. In the event that you leave. Ad answer simple questions to make legal contracts on any device in minutes. Web sign on bonus agreement template. Web we are happily presenting you couple of free bonus structure templates at.
Signing Bonus Letter Format
Web sign on bonus agreement template. Use this template for creating your own. Easily customize your legal contracts. Web 1 day agosome houston independent school district teachers say they feel tricked and. In the event that you leave.
Printable Employee SignOn Bonus Agreement Etsy
Ad answer simple questions to make legal contracts on any device in minutes. Web benefits of signing bonuses that said, signing bonuses can help induce. Download and print your custom legal forms using lawdepot. Web this employee bonus policy template is ready to be tailored to your company’s needs. Web this employee bonus policy template is ready to be tailored.
Signing bonus was received from ExxonMobil Stabroek News
Web this employee bonus policy template is ready to be tailored to your company’s needs. The company agrees to pay you a one. Web a sign on bonus contract may state that the sign on bonus is triggered. Web sign on bonus agreement template. In the event that you leave.
Examples of Referral Bonus Agreement Form for Healthcare Workers Fill
Web we are happily presenting you couple of free bonus structure templates at. Web 1 day agosome houston independent school district teachers say they feel tricked and. Web sign on bonus agreement template. Web this employee bonus policy template is ready to be tailored to your company’s needs. Web signing bonus clause samples.
sample bonus agreement Doc Template PDFfiller
Web 1 day agosome houston independent school district teachers say they feel tricked and. In the event that you leave. Ad answer simple questions to make legal contracts on any device in minutes. Web free sample sign on bonus contract. Use this template for creating your own.
CEO Bonus Plan SampleGeneric Employment Politics
Check out how easy it is to complete and esign. Ad answer simple questions to make legal contracts on any device in minutes. Web free sample sign on bonus contract. Easily customize your legal contracts. Web we are happily presenting you couple of free bonus structure templates at.
Free SignOn Bonus Repayment Agreement Template Google Docs, Word
The company agrees to pay you a one. Web benefits of signing bonuses that said, signing bonuses can help induce. Web signing bonus clause samples. Web this bonus will be paid in one lump sum and will be taxable. Web this employee bonus policy template is ready to be tailored to your company’s needs.
Employee Retention Bonus Agreement Template [Free PDF] Google Docs
Web a sign on bonus contract may state that the sign on bonus is triggered. Web this employee bonus policy template is ready to be tailored to your company’s needs. Use this template for creating your own. The company agrees to pay you a one. Web 1 day agosome houston independent school district teachers say they feel tricked and.
SignOn Bonus Agreement Template Download Printable PDF Templateroller
Web this employee bonus policy template is ready to be tailored to your company’s needs. Web sign on bonus agreement template. Web free sample sign on bonus contract. Web signing bonus clause samples. Check out how easy it is to complete and esign.
Check out how easy it is to complete and esign. Web 1 day agosome houston independent school district teachers say they feel tricked and. Web signing bonus clause samples. Ad answer simple questions to make legal contracts on any device in minutes. Easily customize your legal contracts. In the event that you leave. Web this employee bonus policy template is ready to be tailored to your company’s needs. Web we are happily presenting you couple of free bonus structure templates at. Download and print your custom legal forms using lawdepot. Web this bonus will be paid in one lump sum and will be taxable. Web benefits of signing bonuses that said, signing bonuses can help induce. Use this template for creating your own. Web free sample sign on bonus contract. Web sign on bonus agreement template. Web a sign on bonus contract may state that the sign on bonus is triggered. Web this employee bonus policy template is ready to be tailored to your company’s needs. The company agrees to pay you a one.






![Employee Retention Bonus Agreement Template [Free PDF] Google Docs](https://images.template.net/44646/Employee-Retention-Bonus-Agreement-Template-1.jpeg)
